Introduction: Human leukocyte antigen (HLA) plays a major role in the interaction between the immune system and oncogenic process in various types of tumors including lymphoma. Mono-allelic and bi-allelic loss of the HLA-I has been reported in diffuse large B-cell lymphoma (DLBCL) and other types of lymphoma. Poor outcome was also reported with the loss of the HLA-I system in lymphoma. Since HLA-I and HLA-II are both critical for healthy immune response and both can be expressed in the lymphoma cells as well as in the lymphoma responding microenvironment, analyzing both systems is crucial for deciphering the role of the HLA system in lymphoma. Toward this goal, we evaluated the expression level of various HLA-I and HLA-II genes and compared these levels between subtypes of lymphoma. We quantified RNA expression levels of 15 HLA-I and HLA-II genes using next generation sequencing (NGS) and used machine learning algorithm (random forest) to evaluate the depth of the significance in variation of the expression profiles between various types of lymphoma.

Methods:

RNA was extracted from formalin-fixed paraffin-embedded (FFPE) tissue from 99 diffuse large B-cell lymphoma (DLBCL), 79 T-cell lymphoma, 40 follicular lymphoma, 28 mantle cell lymphoma, and 14 Hodgkin lymphoma samples. RNA sequencing was performed using a targeted hybrid capture panel. The sequenced HLA-I genes were HLA-A, HLA-B, HLA-C, HLA-E, HLA-F, and HLA-H. The sequenced HLA-II genes were HLA-DPA1, HLA-DPB1, HLA-DQA1, HLA-DQB1, HLA-DQB2, HLA-DRA, HLA-DRB1, HLA-DRB5, and HLA-DRB6. Salmon v1.4.0 software was used for expression quantification (TPM). Random forest machine learning system was used for predicting subtypes. Two thirds of samples were used for training the random forest algorithm and one third was used for testing.

Results:

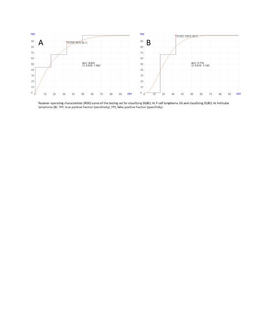
RNA levels of individual HLA-I and HLA-II genes varied mildly between various B-cell lymphoma subtypes without specific pattern, especially after adjusting for multiple testing. However, T-cell lymphoma showed overall significantly (P< 0.0001) higher HLA-I (B, C, and F) and lower HLA-II (DRB1 and DRB5) expression levels as compared with B-cell lymphoma. In contrast, using machine learning algorithm to evaluate combination of HLA-I and HLA-II expression profiles showed discrete and significant differences between various types of lymphoma. The levels of expression of HLA-I and HLA-II genes were adequate to distinguish between DLBCL and follicular lymphoma with AUC of 0.778 (95% CI: 0.46-1.00), and between DLBCL and T-cell lymphoma with AUC of 0.833 (95% CI: 0.624-1.00). The number of Hodgkin lymphoma and mantle cell cases was small but the random forest distinguished between DLBCL and Hodgkin lymphoma with AUC of 0.833 (95% CI: 0.294-1.00), and between DLBCL and mantle cell lymphoma with AUC of 0.778 (95% CI: 0.416-1.00).

Conclusions:

This data confirms the polygenic effects of the HLA-I and HLA-II on various types of lymphoma. The HLA-I and HLA-II combined expression profiles are significantly different between various types of lymphoma. More importantly, this data suggests that immune modulating therapy should consider the polygenic effects of both the HLA-I and HLA-II systems.

Ip:Genomic Testing Cooperative: Current equity holder in private company; Seattle Genetics: Speakers Bureau; AstraZeneca: Speakers Bureau; Secura Bio: Consultancy, Membership on an entity's Board of Directors or advisory committees; TG Therapeutics: Consultancy, Membership on an entity's Board of Directors or advisory committees; MJH Life Sciences: Honoraria; COTA: Current holder of stock options in a privately-held company; Merck: Current holder of stock options in a privately-held company. Leslie:ADC Therapeutics: Consultancy, Membership on an entity's Board of Directors or advisory committees; Genmab: Consultancy, Membership on an entity's Board of Directors or advisory committees, Speakers Bureau; Abbvie: Consultancy, Membership on an entity's Board of Directors or advisory committees, Other: Travel support, Speakers Bureau; Kite, a Gilead Company: Consultancy, Membership on an entity's Board of Directors or advisory committees, Other: Travel support, Speakers Bureau; TG Therapeutics: Consultancy, Membership on an entity's Board of Directors or advisory committees, Other: Travel support, Speakers Bureau; Epizyme: Consultancy, Membership on an entity's Board of Directors or advisory committees, Other: Travel support, Speakers Bureau; LLS: Other: Educational role/ Leadership role in LLS light the night events (unpaid); Beigene: Consultancy, Membership on an entity's Board of Directors or advisory committees, Other: Travel support, Speakers Bureau; Astrazeneca: Consultancy, Other: Travel support, Speakers Bureau; Eli Lilly: Consultancy, Membership on an entity's Board of Directors or advisory committees, Other: Travel support, Speakers Bureau; Celgene/ Bristol Myers Squibb: Other: Travel support, Speakers Bureau; Merck: Consultancy, Membership on an entity's Board of Directors or advisory committees; Janssen/PCYC: Consultancy, Membership on an entity's Board of Directors or advisory committees, Other: Travel support, Speakers Bureau; BeiGene: Consultancy, Membership on an entity's Board of Directors or advisory committees, Speakers Bureau; Janssen/ J&J: Consultancy, Membership on an entity's Board of Directors or advisory committees, Speakers Bureau; SeaGen: Consultancy, Membership on an entity's Board of Directors or advisory committees, Other: Travel support, Speakers Bureau; Pharmacyclics: Consultancy, Membership on an entity's Board of Directors or advisory committees, Other: Travel support, Speakers Bureau; CLL: Other: Educational role; LRF: Other: Educational role. Feldman:Pharmacyclics LLC: Speakers Bureau; Genomic Testing Cooperative: Current equity holder in private company; Kymera: Research Funding; MorphoSys: Consultancy, Membership on an entity's Board of Directors or advisory committees, Research Funding; Poteligeo: Speakers Bureau; AstraZeneca: Consultancy, Membership on an entity's Board of Directors or advisory committees, Research Funding; ADC Therapeutics: Consultancy, Membership on an entity's Board of Directors or advisory committees; Abbvie: Consultancy, Membership on an entity's Board of Directors or advisory committees, Speakers Bureau; Tessa: Research Funding; Takeda: Speakers Bureau; Corvus: Research Funding; Celgene, BMS: Research Funding, Speakers Bureau; Kite, a Gilead Company: Consultancy, Membership on an entity's Board of Directors or advisory committees; Karyopharm: Consultancy, Membership on an entity's Board of Directors or advisory committees; Juno: Research Funding; Janssen Biotech, Inc.: Speakers Bureau; Portola: Research Funding; Daiichi Sankyo: Consultancy, Membership on an entity's Board of Directors or advisory committees, Research Funding; Eisai: Research Funding; Genmab: Consultancy, Membership on an entity's Board of Directors or advisory committees, Research Funding. Goy:MorphoSys: Research Funding; Pharmacyclics LLC, an AbbVie Company: Other: Steering Committee, Research Funding; Seagen: Research Funding; Xcenda: Consultancy, Honoraria; OMI: Current Employment; Vincerx: Honoraria, Membership on an entity's Board of Directors or advisory committees, Other; Verastem: Research Funding; Physicians Education Resource, LLC: Consultancy, Honoraria, Other: travel, accommodations, and expenses; Constellation: Research Funding; Hoffman la Roche: Consultancy, Honoraria, Research Funding; Karyopharm: Research Funding; Infinity: Research Funding; Genentech: Research Funding; Bristol Myers Squibb/Celgene: Consultancy, Membership on an entity's Board of Directors or advisory committees, Other, Research Funding; AstraZeneca: Membership on an entity's Board of Directors or advisory committees, Other: Steering Committee, Research Funding; Acerta: Honoraria, Membership on an entity's Board of Directors or advisory committees, Research Funding; Novartis: Consultancy, Honoraria; Michael J. Hennessey: Consultancy, Honoraria; Medscape: Consultancy; Kite, a Gilead Company: Consultancy, Honoraria, Membership on an entity's Board of Directors or advisory committees, Research Funding; Janssen: Consultancy, Honoraria, Membership on an entity's Board of Directors or advisory committees, Other: Steering Committee, Research Funding; Clinical Advances in Hematology & Oncology: Consultancy; AbbVie/ Pharmacyclics LLC: Consultancy, Honoraria, Membership on an entity's Board of Directors or advisory committees, Other: Steering Committee, Research Funding; Resilience: Current holder of stock options in a privately-held company; Alloplex: Current holder of stock options in a privately-held company, Honoraria, Membership on an entity's Board of Directors or advisory committees; Genomics Testing Cooperative LLC: Current holder of stock options in a privately-held company, Membership on an entity's Board of Directors or advisory committees, Other: Leadership Role; COTA Healthcare: Current holder of stock options in a privately-held company, Membership on an entity's Board of Directors or advisory committees, Other: Leadership Role; Regional Cancer Care Associates, OMI: Current Employment, Research Funding; OncLive Peer Exchange: Honoraria; Practice Update Oncology: Consultancy, Honoraria.

This content is only available as a PDF.
Sign in via your Institution